Plant growth and seed quality of bean seeds under soil flooding
Palavras-chave:
leaf area, dry mass, Phaseolus vulgaris, vigor.Resumo
The growth of plant species can be affected by flooding. The study aimed to comparatively evaluate the growth and expression of seed vigor of common bean genotypes subjected to soil flooding. For each genotypes IPR Tuiuiú and Carioca, treatments consisted of combining soil flooding for 12 hours or kept at field capacity, and plant sample collection times. Plant samples were collected at every 20 day intervals, being determined dry mass, leaf area and seed vigor. The plants of genotype IPR Tuiuiú showed higher growth and similar expression of seed vigor under soil field capacity. In plants of genotype Carioca, soil flooding did not affect growth and expression of seed vigor. The flooding negatively interferes on growth and vigor expression of bean seed, with intensity dependent on the genotype. The ratio between area and leaf mass is reduced in plants subjected to flooding. Plants of Carioca genotype subjected to flooding present greater growth and expression of seed vigor comparatively of the IPR Tuiuiú.
Downloads
Arquivos adicionais
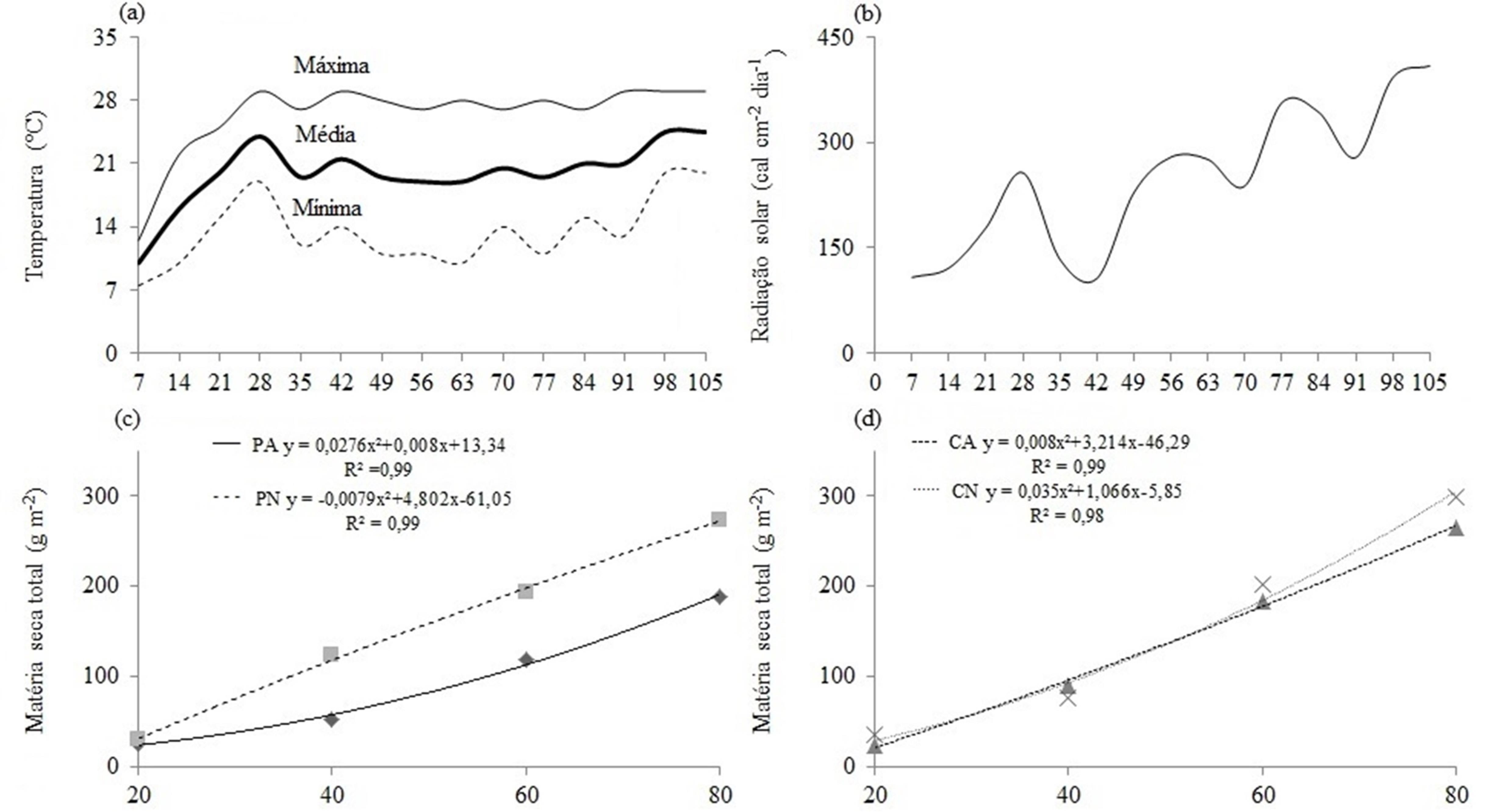
- Figura 1 - Temperaturas (a), radiação solar (b) e matéria seca total (c; d) dos genótipos IPR Tuiuiú (PA; PN) e Carioca (CA; CN) sob 12 horas de alagamento, respectivamente (Pelotas, RS, UFPel – 2014).
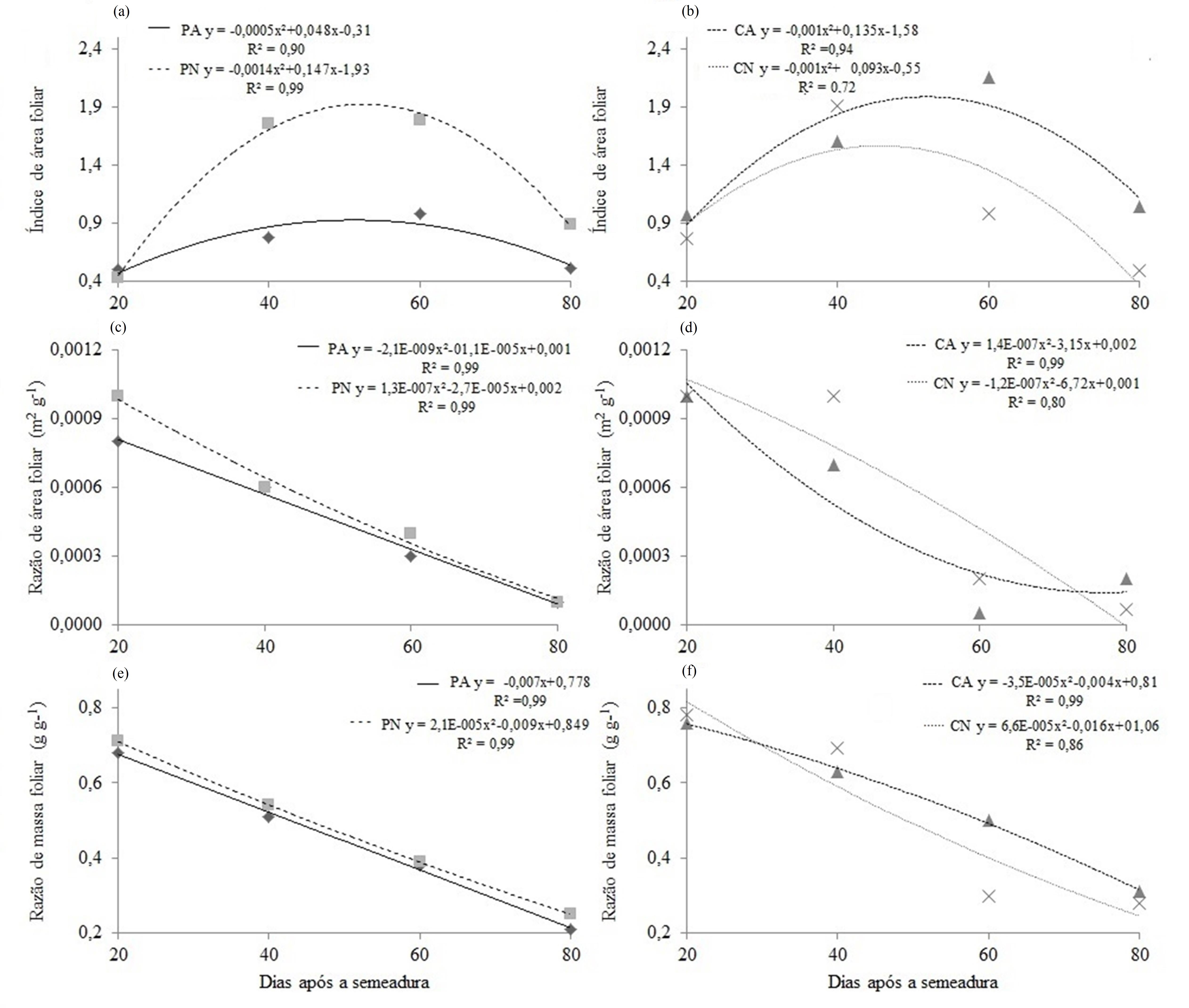
- Figura 2 - Índice de área foliar (a; b), razão de área foliar (c; d) e de massa foliar (e; f) dos genótipos IPR Tuiuiú (PA; PN) e Carioca (CA; CN) sob 12 horas de alagamento, respectivamente (Pelotas, RS, UFPel – 2014).
Publicado
Como Citar
Edição
Seção
Licença
Aviso de Direito Autoral Creative Commons
Política para Periódicos de Acesso Livre
Autores que publicam nesta revista concordam com os seguintes termos:
1. Autores mantém os direitos autorais e concedem à revista o direito de primeira publicação, com o trabalho simultaneamente licenciado sob a Licença Creative Commons Attribution que permite o compartilhamento do trabalho com reconhecimento da autoria e publicação inicial nesta revista.2. Autores têm autorização para assumir contratos adicionais separadamente, para distribuição não-exclusiva da versão do trabalho publicada nesta revista (ex.: publicar em repositório institucional ou como capítulo de livro), com reconhecimento de autoria e publicação inicial nesta revista.
3. Autores têm permissão e são estimulados a publicar e distribuir seu trabalho online (ex.: em repositórios institucionais ou na sua página pessoal) a qualquer ponto antes ou durante o processo editorial, já que isso pode gerar alterações produtivas, bem como aumentar o impacto e a citação do trabalho publicado (Veja O Efeito do Acesso Livre).
Licença Creative Commons
Esta obra está licenciada com uma Licença Creative Commons Atribuição-NãoComercial-CompartilhaIgual 4.0 Internacional, o que permite compartilhar, copiar, distribuir, exibir, reproduzir, a totalidade ou partes desde que não tenha objetivo comercial e sejam citados os autores e a fonte.