Bonaldo, Solange Maria
-
Scientia Agraria Paranaensis v. 14 n. 3 (2015) - Artigos Científicos
Avaliação de fungicidas no controle de antracnose e mancha alvo, e no rendimento da cultura da soja
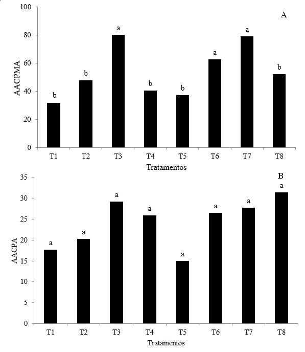
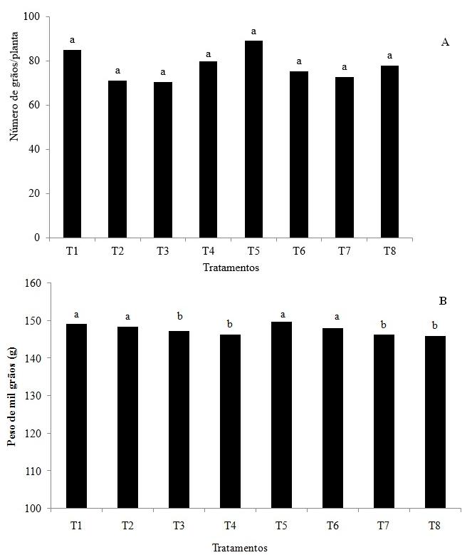
Resumo PDF FIGURA 1A e B FIGURA 2A e B FIGURA 3A e B FIGURA 4A e B -
Scientia Agraria Paranaensis v. 14 n. 1 (2015) - Artigos Científicos
Qualidade sanitária de grãos de soja em função da época de colheita
Resumo PDF -
Scientia Agraria Paranaensis Vol. 15, No 2 (2016) - Artigos Científicos
Efeito volátil de óleos essenciais no desenvolvimento de patógenos em amêndoas de Castanhas-do-Brasil
Resumo PDF